顏色色彩管理、配色
咨詢熱線:400-888-5135 020-82880288

CIELab顏色空間色差公式的兩種不同表示形式
信息來源:三恩時品牌廠家
瀏覽次數:508
發表時間:2025-11-11
CIELab顏色空間是色差儀等顏色測量儀器中常用的顏色空間,該顏色空間可以用L、a、b值對顏色進行描述,也可以使用其極坐標L、c、h對顏色進行描述,因此就會存在不同的色差計算式。本文對CIELab顏色空間色差公式的兩種不同表示形式做了介紹。

CIELab顏色空間色差公式的兩種不同表示形式:
CIELab色差公式是ANLAB色差公式的簡化模型。1976年被推薦替代ANLAB以提高在工業應用上的均勻性和簡單性。L*a*b*公式以兩種坐標形式(直角坐標和柱坐標)給出。
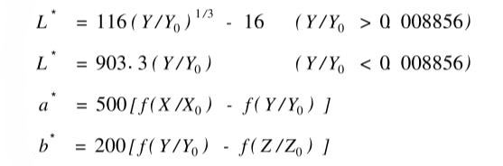
1.直角坐標表示形式

這里,X、Y和Z是色樣的三刺激值,而X0、Y0和Z0是照明光源的三刺激值。
總的色差的計算公式為:

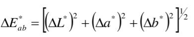
2.柱坐標表示形式

其中C*定義為米制彩度,h定義為米制色調角(0度~360度)。
柱坐標形式的色差為:

Hunter Lab顏色空間色差公式的形式:
Hunter Lab顏色空間是一個基于對立顏色學說的三維矩形空間,與CIELab色彩體系相類似,同一顏色在這兩個顏色空間中的數值是不同的,Hunter Lab在顏色空間的藍色部分是收縮的,CIELab在顏色空間的黃色部分是過度擴張的;都是由CIEXYZ體系導出的。其表達式為:

其中:L為明度;a、b為色度;L值越大,物體顏色越白;L值越小,物體顏色越黑。沿(+a)方向紅色逐漸加深,沿(-a)方向綠色逐漸加深。沿(+b)方向黃色逐漸加深,沿(-b)方向藍色逐漸加深。X、Y、Z為物體的三刺激值;Xn、Yn、Zn為完全反射面的三刺激值;Ka、Kb為調整因子。
Hunter Lab色差公式和CIELAB公式相似,該公式中L表示物體反射光的亮度,a和b分別表示反射光中的紅綠成分和黃藍成分。其表達式如下:

式中:△L、△a、△b分別為兩個物體表面色的明度差和色品坐標差。
上一頁 : 分光測色儀的精密度和準確度用什么表示?